欢迎来到437bwin必赢国际官网!

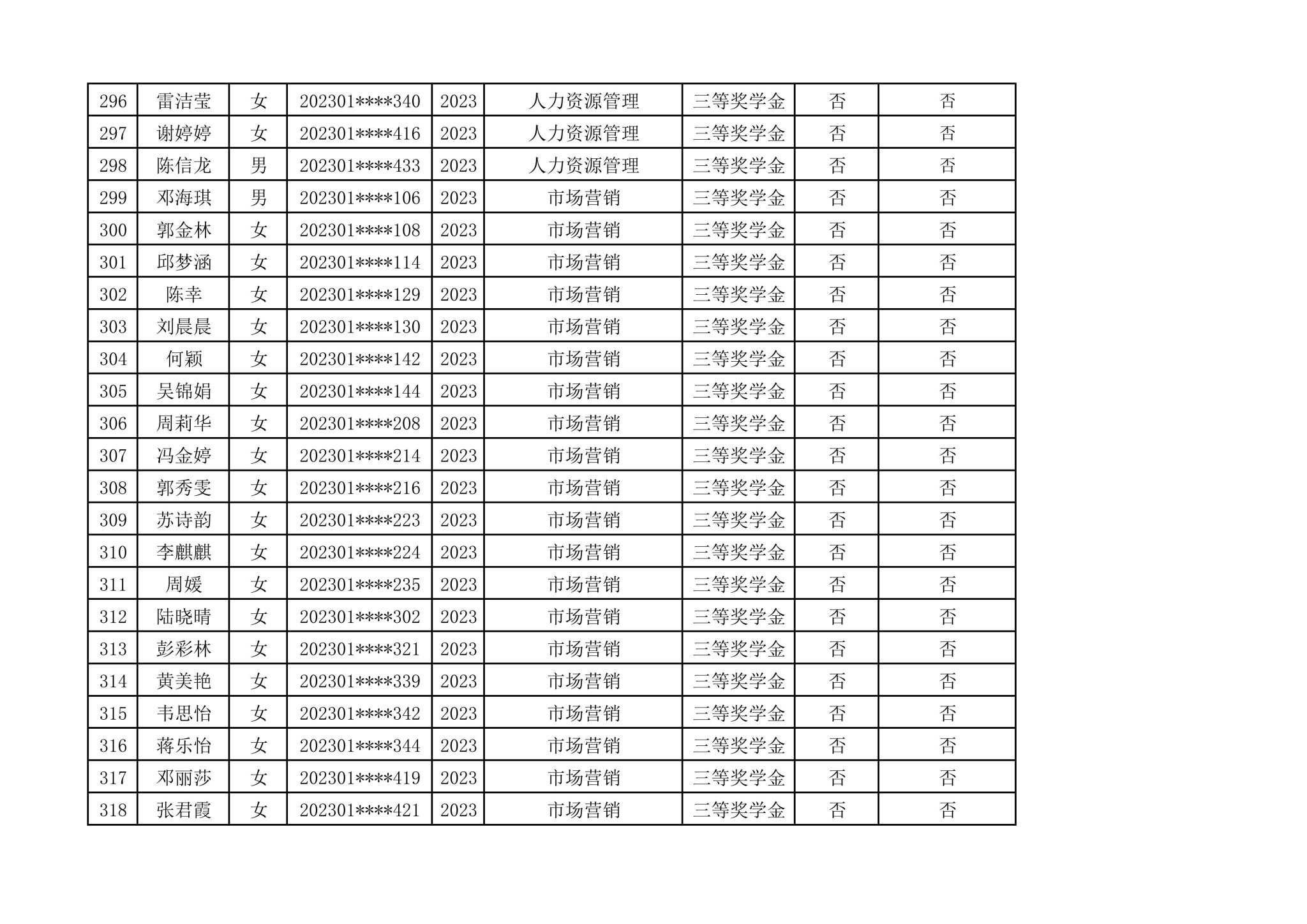
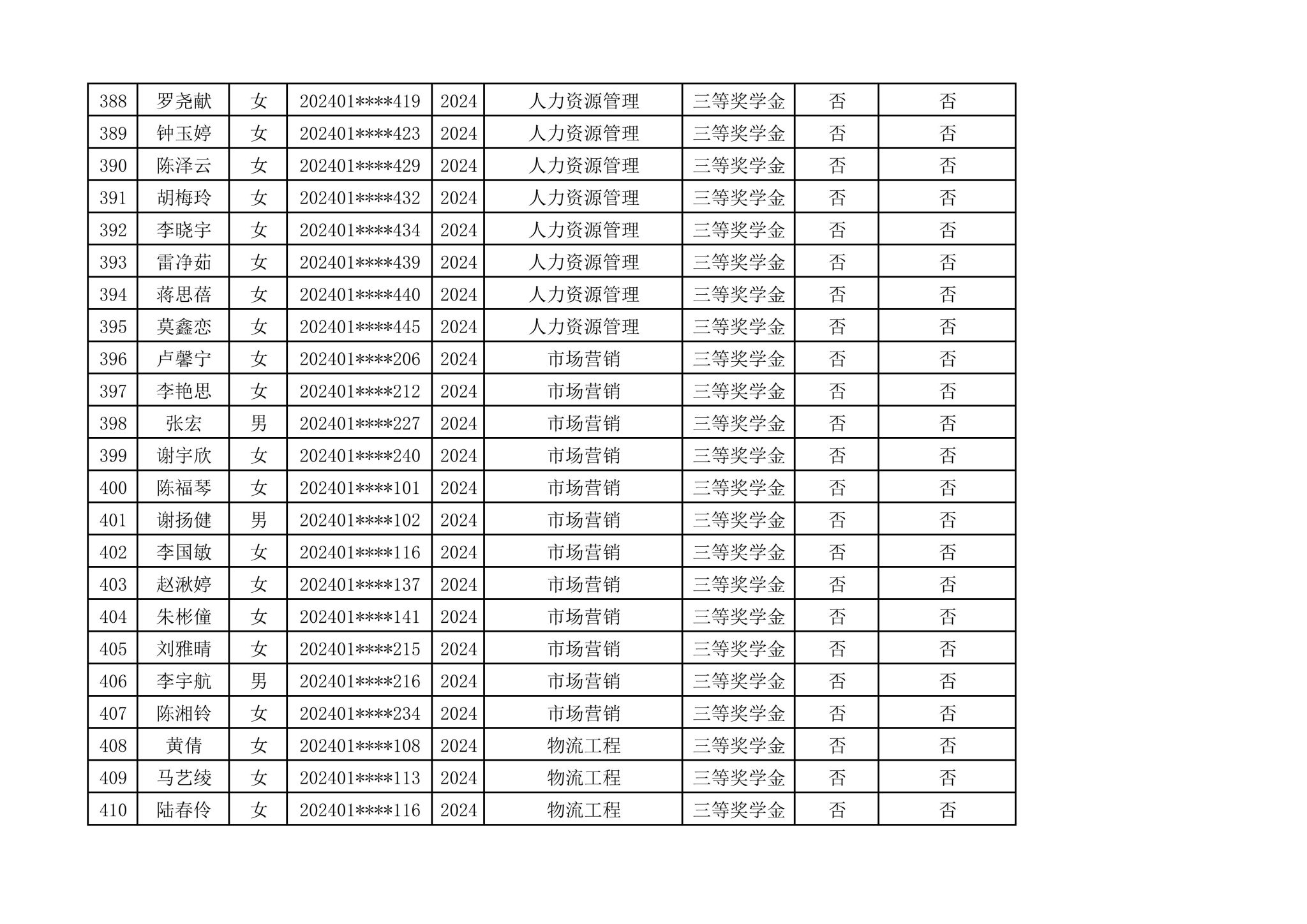
2024-2025年校内学习优秀奖学金437bwin必赢国际官网

2025年09月23日 16:38 jln 点击:[]

上一条:2024-2025年先进班集体437bwin必赢国际官网拟推荐名单公示 下一条:2024-2025学年437bwin必赢国际官网拟推荐参加国家奖学金第一轮评选人选公示

关闭